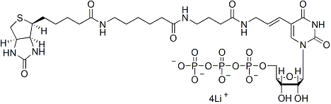
Biotin-16-UTP
Biotin-16-UTP 可以酶促掺入 RNA。数字 16 表示生物素和 UTP 之间的原子数。
SIZE
货号
25 uL (10 mM Solution)
40023
30 uL (75 mM Solution)
40070
产品详情
常见问题
Biotin-16-UTP(Biotin-16-uridine-5'-triphosphate,四锂盐)可以酶促掺入 RNA。数字 16 表示生物素和 UTP 之间的碳数。
以 pH 7.5 Tris-HCl 缓冲液提供
C 32 H 48 N 7 O 19 P 3 SLi 4
分子量:987.51
储存于 -20°C

产品推荐
dCTP CF® Dye Conjugates
产品编号:
40067-T
- 40068
查看全部
详细视图
5-Aminoallyl-dUTP (AA-dUTP), 10 mM solution
产品编号:
40020
详细视图
Cyanine Dye dUTP
产品编号:
40064
- 40065
详细视图
dUTP CF® Dye Conjugates
产品编号:
40004-T
- 40003
查看全部
详细视图
TUNEL Assay Apoptosis Detection Kit
产品编号:
30063
- 30074
查看全部
详细视图
Streptavidin Conjugates
产品编号:
29031
- 29044-1mL
查看全部
详细视图



