TRITC-DHPE
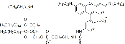
TRITC-DHPE 是一种罗丹明标记的甘油磷酸乙醇胺脂质。罗丹明染料的 DHPE 缀合物已用于膜融合测定。
SIZE
货号
1 mg
60028
产品详情
产品属性
常见问题
TRITC-DHPE (N-(Tetramethylrhodamine-6-thiocarbamoyl)-1,2-dihexadecanoyl-sn-glycero-3-phosphoethanolamine, triethylammonium salt) 是一种罗丹明标记的甘油磷酸乙醇胺脂质。罗丹明染料的 DHPE 偶联物在使用荧光能量转移 (FRET) 原理的膜融合测定中与 NBDPE 作为供体结合用作荧光能量受体 (1-3)。这些探针也被用于内吞过程中的膜转运 (4,5)。
λ Ex /λ Em (MeOH) = 540/566 nm
溶于氯仿的深色固体
-20°C 避光保存
C 68 H 110 N 5 O 11 PS
分子量:1236.67
产品推荐
CellBrite® Cytoplasmic Membrane Dyes
产品编号:
30024
- 30023
查看全部
详细视图
MitoView™ Mitochondrial Dyes
产品编号:
70070-T
- 70068
查看全部
详细视图
NucSpot® Live Cell Nuclear Stains
产品编号:
40081-T
- 40082
查看全部
详细视图
ViaFluor® Live Cell Microtubule Stains
产品编号:
70064-T
- 70063
查看全部
详细视图
ViaFluor® SE Cell Proliferation Kits
产品编号:
30068-T
- 30050
查看全部
详细视图
Viability/Cytotoxicity Assay Kit for Animal Live & Dead Cells
产品编号:
30002-T
- 30002
详细视图




