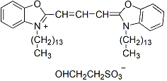
DiOC14(3), Hydroxyethanesulfonate
DiOC 14 (3) 是一种 DiO 衍生物,但比后者更易溶于水性介质,因为它具有较短的烃链。另请参阅我们的即用型 CellBrite™ 细胞膜标记解决方案。
SIZE
货号
50 mg
60012
产品详情
产品属性
常见问题
DiOC 14 (3) 是一种 DiO 衍生物,但比后者更易溶于水性介质,因为它具有较短的烃链。另请参阅我们的即用型 CellBrite™ 细胞膜标记解决方案。
λ Ex /λ Em (MeOH) = 484/501 nm
ε (MeOH) = 150,000
橙色固体,溶于甲醇、乙醇或 DMSO
在 4°C 下干燥储存
C 47 H 74 N 2 O 6 S
分子量:795

产品推荐
CellBrite® Cytoplasmic Membrane Dyes
产品编号:
30024
- 30023
查看全部
详细视图
MitoView™ Mitochondrial Dyes
产品编号:
70070-T
- 70068
查看全部
详细视图
NucSpot® Live Cell Nuclear Stains
产品编号:
40081-T
- 40082
查看全部
详细视图
ViaFluor® Live Cell Microtubule Stains
产品编号:
70064-T
- 70063
查看全部
详细视图
ViaFluor® SE Cell Proliferation Kits
产品编号:
30068-T
- 30050
查看全部
详细视图
Viability/Cytotoxicity Assay Kit for Animal Live & Dead Cells
产品编号:
30002-T
- 30002
详细视图




