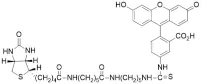
Fluorescein biotin
荧光素生物素 (5-((N-(5-(N-(6-(Biotinoyl)amino)hexanoyl)amino)pentyl)thioureidyl) fluorescein) 可用于检测和量化生物素结合位点和蛋白质的生物素化程度. 另见生物素-罗丹明 110 ( 80022 ) 和生物素-4-荧光素 ( 90062 )。
SIZE
货号
5 mg
80019
产品详情
产品属性
常见问题
荧光素生物素 (5-((N-(5-(N-(6-(Biotinoyl)amino)hexanoyl)amino)pentyl)thioureidyl) fluorescein) 可用于检测和量化生物素结合位点和蛋白质的生物素化程度. 另见生物素-罗丹明 110 ( 80022 ) 和生物素-4-荧光素 ( 90062 )。
λ Ex /λ Em = 494/518 nm
黄色固体溶于 DMSO 或 DMF
-20°C 避光保存
C 42 H 50 N 6 O 8 S 2
分子量:831
[134759-22-1]
参考
1. Biochim Biophys Acta 1381, 203 (1998)。
2. 临床化学 40, 2112 (1994)。
产品推荐
CF® Dye Biocytin
产品编号:
92004
- 92007
查看全部
详细视图
Biocytin
产品编号:
90055
详细视图
CF® Dye Biotin
产品编号:
80029
- 80032
查看全部
详细视图
CF® Dye Dextran 10,000 MW, Anionic and Fixable
产品编号:
80110
- 80121
查看全部
详细视图
CF® Dye Hydrazide
产品编号:
92151
- 96025
查看全部
详细视图
Streptavidin Conjugates
产品编号:
29031
- 29044-1mL
查看全部
详细视图




